-
-
[原创]量子安全 量子算法分析 Grover算法[超详细]
-
发表于: 2026-4-9 22:46 1128
-
本文最初为在下自学的手稿,后来在同学帮助下整理手写的公式成了latex图片之后一起做了ppt,正好近日要答辩整理思路并且记录为博客。引用了很多网上大佬的内容,道然很多后面的图是在下用ppt古法手搓,但是这个是之前的手稿如果引用不全还请私信我补充,感谢。引用见文末。
本文结合了很多大佬使用的几何方法和推导证明,几何方法更加适合理解,推导证明更加严谨一些,最后还有小型模拟代码的实现,因为在下脑子没有很好用,所以推导过程一般没有跳步,可能有些繁琐。
算法介绍
Grover 算法加快了无需搜索的速度,在经典计算机上要花费O(n)的复杂度的搜索室友Grover算法只需要O(根号n)
问题举例:
要从一幅画中识判断某个颜色在不在这个画中。(这里比如要找绿色)

经典计算机:
如果使用经典计算机,需要每个色块进行遍历。

运气好的话1次就找到了,运气不好的话需要n次,平均下来大概是n/2次。
所以复杂度是O(n)
量子计算机:
如果使用量子计算机,使用Grover算法借助量子叠加的特性和振幅放大的技巧。

就好像把所有色块叠加到一起,使用G函数进行迭代。
每次迭代会增加目标图层的不透明度,然后降低非目标的不透明度。
最终迭代r次之后再观测就只剩下我们的目标了。
Grover算法图示
如下:
篮框中的H门是用来制备叠加态的。
红框中的G即为每次迭代的函数
经过k次迭代后最后测得目标的概率就是100%

G门分为两个步骤分别为Uf和V来实现:
Uf门用来反转目标量子态(Oracle)
V门让组成量子态的所有基态都关于输入态的平均值反转

基础推导:
解决搜索问题:从N=2n个元素中找到目标元素w.
满足映射关系:
则有:
细节流程图:

先看最前面的部分

一上来啥也没干,全是0态,用张量积表示

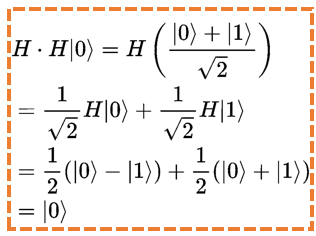
接下来是制备出来2^N搜索空间,每条路都过了H门,这里直接求N条路不方便求,先看N=2是啥情找找规律

然后再看N条路

几何方法:
加下来看Uf门和V的作用,先从几何角度看比较好理解。
镜像反转算符:
针对于Uf和V的作用,引入一个任意量子态和与其正交的量子态组成的平面,其中任意量子态|x>可表示为:

其中:
任意量子态为:
![]()
与其正交的量子态为:
![]()

接下来定义两个算符M和N

M作用与|x>:

N作用于|x>:

所以对于我们的运算符有:




VUf作用r次后逼近于目标态
这里每次都是theta是因为关于两条固定直线连续反射,等价于绕它们交点旋转一个固定角度,所以是r*theta



在VUf作用了r次之后

推导证明:
回到这张图

算符Uf



算符Uf0



运算符V



对于蓝绿部分

对于橙色部分先取n=1

电路推导第一轮迭代:

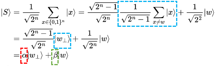
由前文S态为:

对|S>整理:

上式中,红绿蓝部分:

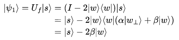
对|S>施加Uf得到


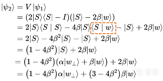
施加V得到

橙色部分:

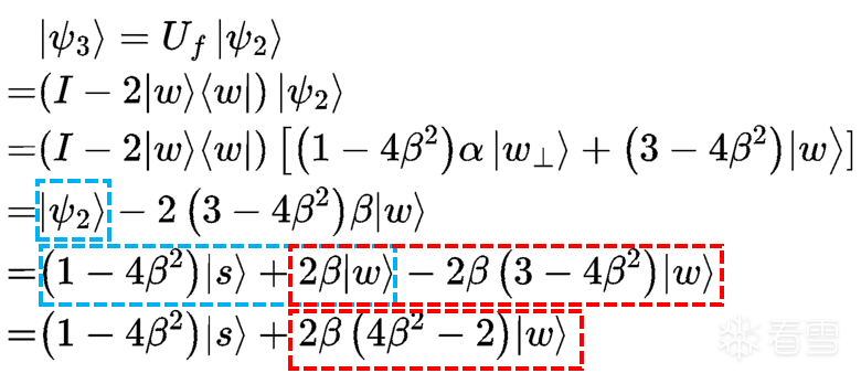
第二轮迭代

施加Uf得到

同理第一次迭代,把结果整理成|S>与|w>组合

施加V得到

对比第1和第2轮迭代结果

代码实现
4qubite,在{0,1}4中寻找1111

引用:
笔记 | 第一个量子算法:Deutsch-Jozsa算法,非常好懂! - 胡小兔 - 博客园
量子搜索算法(Grover Algorithm)-CSDN博客
量子计算笔记(10)-量子搜索算法(Grover算法)详解(一) - 知乎
Grover 搜索算法理论 - Azure Quantum | Microsoft Learn
量子计算(二十二):Grover算法-CSDN博客
Attention Required! | Cloudflare
Grover搜索算法 - QuICT(opensource-docs)


